Pengertian suku banyak matematika
Suku banyak
atau polinomial dalam x dan
berderajat n yaitu suatu bentuk yang
secara umum dituliskan sebagai berikut:
Poin-poin
penting dalam suku banyak (polinom):
- □
merupakan bilangan real dan
- □
merupakan koefisien
merupakan koefisien
,… , dst. Sedangkan
disebut konstanta.
- □ Derajat
suku banyak ditentukan oleh pangkat tertinggi dari variabel x
- □ Penulisan
suku-suku pada suku banyak dimulai dari variabel pangkat tertinggi, diikuti
suku-suku dengan pangkat menurun disebut aturan
pangkat turun
- □ Suku
banyak yang hanya mempunyai satu variabel disebut suku banyak univariabel dan suku banyak dengan lebih dari satu
variabel disebut suku banyak
multivariabel
Contoh
1:
Tentukan
variabel, derajat dan koefisien dari suku banyak 
[Penyelesaian]
Suku
banyak diatas berderajat 3, koefisien
adalah 2, koefisien
adalah 5,
koefisien x adalah -10 dan kontstantanya 7.
Menghitung Nilai Suku Banyak
Suku
banyak dapat dituliskan dalam bentuk fungsi
dengan bentuk umum:
Ada
beberapa cara menentukan nilai yaitu dengan metode
subtitusi dan metode bagan atau skema
Menentukan Nilai Suku Banyak Metode Subtitusi
Menentukan
nilai suku banyak dengan metode subtitusi tentu sangat mudah, hanya
mengganti veriabel nya dengan nilai tertentu.
Contoh
2:
1.
Hitunglah nilai suku banyak ,
untuk setiap nilai x
berikut
a. x
= -2
b. x
= a - 1
[Penyelesaian]
Catatan :
Metode
subtitusi cocok dipakai untuk menentukan nilai suku banyak dengan bentuk
sederhana dan untuk nilai x yang
tidak terlalu besar dan x bilangan
bulat.
Menentukan Nilai Suku Banyak Metode Bagan atau Skema
Metode
bagan atau skema dapat digunakan untuk menentukan nilai semua bentuk suku
banyak dan sembarang nilai x ϵ R. Pada
dasarnya metode skema merupakan gabungan
operasi perkalian dan operasi penjumlahan yang ditampilkan dalam bentuk bagan
atau skema
Contoh
3 :
Tentukan
nilai setiap fungsi dibawah ini dengan metode skema!
1. Hitunglah
f(-2) , untuk 
[Penyelesaian]
Dengan
menggunakan skema atau bagan susun bilangan-bilangan pada baris pertama yang
memuat setiap koefisien x mulai dari pangkat
tertinggi sampai pangkat terendah
Jadi,
nilai f(-2) = 20
2. Hitunglah
, untuk 
[Penyelesaian]
Pada
soal ini koefisien x^2 tidak ada, maka tempat koefisiennya dituliskan nol.
Jadi,
3. Hitunglah
, untuk x = 2
[Penyelesaian]
Suku
banyak ini terdiri dari dua variabel yaitu x
dan y , suku banyak f(x,y) dipandang sebagai variabel dalam x. Sehingga 
Bagannya
adalah:
Jadi,
Kesamaan Suku Banyak
Kesamaan
dua suku banyak ditulis f(x) ≡ g(x) ,
yaitu jika kedua suku banyak mempunyai nilai yang sama untuk setiap variabel x.
Sifat kesamaan dua suku banyak dapat dipakai untuk menentukan nilai-nilai suatu
bentuk aljabar yang belum diketahui. Simak contoh-contoh dibawah ini:
Contoh
4 :
1.
Tentukan nilai a dan b sehingga persamaan berikut berlaku
untuk setiap nilai x,
[Penyelesaian]
Bandingkanlah
koefisien pada ruas kiri dan ruas kanan,

Dari (1), a = -2, subtitusikan a = -2 ke (2) diperoleh b = 3 ,subtitusikan a = -2 ke (3) dieproleh c = 1
Jadi, a = -2 ; b = 3 dan c = 1
Jadi, a = -2 ; b = 3 dan c = 1
2.Tentukan
nilai a, b dan c sehingga persamaan berikut merupakan identitas,
[Penyelesaian]
Dengan
menggunakan metode subtitusi nilai,
,
Dari (1), (2) dan (3) maka dieproleh:
a = 3/2 ; b = ½ dan c = - 2
a = 3/2 ; b = ½ dan c = - 2
3.Tentukan
nilai a, b dan c sehingga persamaan berikut berlaku untuk setiap nilai x,
,
[Penyelesaian]


Bandingkanlah
koefisien pembilang pada ruas kiri dan ruas kanan,

Dari
(3) a = - 1 subtitusikan a = -
1 ke
(2) dan (1) lalu eliminasi c diperoleh
, b = - 2 dan c
= 3
Pembagian Suku Banyak
a. Pembagian Suku Banyak dengan cara Bersusun
Hubungan
antara yang dibagi, pembagi , hasil bagi dan sisa pembagian, dapat dituliskan
secara umum sebagai berikut:
Yang dibagi = (Pembagi × hasil bagi) +
Sisa pembagian
Contoh
5:
Tentukan
hasil bagi, dan sisa pembagian soal-soal dibawah ini!
1.
,
dibagi oleh 
[Penyelesaian]
Buatlah
model pembagian seperti dibawah ini:
Hasil
bagi : 2x + 6 dan sisa : 7x + 8
Jadi, 
2.
, dibagi x-3
[penyelesaian]
Karena
koefisien
tidak ada maka tempat koefisiennya ditambahkan nol,
buatlah model pembagian seperti dibawah ini:
Hasil
bagi :
dan sisa : 0
Jadi, 
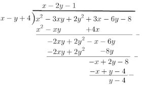
3.
[penyelesaian]
Buatlah
model pembagian seperti dibawah ini:
Hasil
bagi : x - 2y - 1 dan sisa : y - 4
b.Pembagian Suku Banyak dengan Metode Horner
Pembagian
suku banyak dengan metode horner ada dua macam pembagi, yaitu:
- Pembagi berbentuk linier (x - k) dan bentuk (ax + b)
- Pembagi
berbentuk kuadrat ,
Suku
banyak Metode Horner pembagi (x - k)
Misalkan
suku banyak yang dibagi f(x) ,
pembagi (x - k), hasil bagi H(x) dan sisa pembagian S maka persamaan rumusnya adalah:
F(x) = (x - k) × H(x) + S
Contoh
6:
Dengan
metode horner tentukan hasil bagi dan
sisa pembagian suku banyak berikut!
1.
dengan x - 3
[Penyelesaian]
Buat
terlebih dahulu skemanya,
Berdasarkan
bagan diatas, hasil bagi :
dan Sisa : 18
2. Diketahui suku banyak
dibagi (x - 1) sisanya - 5 , Tentukanlah nilai a.
Buat
terlebih dahulu skemanya,
Dari
bagan diatas Sisa : a + 4, maka
a +
4 = - 5,
jadi a = - 9
Suku
banyak Metode Horner pembagi (ax + b)
Misalkan
suku banyak yang dibagi f(x) ,
pembagi (ax +b), hasil bagi H(x) dan sisa pembagian S maka persamaan rumusnya adalah:
Contoh
7:
Tentukan
hasil bagi dan sisa pembagian
dengan 2x + 3
[Penyelesaian]
Dengan
metode horner , buat terlebih dahulu
skemanya,
Jadi
hasil bagi :
dan sisa : - 2
Suku
banyak Metode Horner pembagi berbentuk kuadrat
Jika
suku banyak f(x) dibagi dengan
, a ≠ 0 atau berbentuk fungsi kuadrat maka hasil bagi dan sisa tidak bisa ditentukan dengan metode
horner , tetapi bisa diselesaikan dengan metode bersusun seperti pada contoh dibawah ini:
1.
, dibagi 
[Penyelesaian]
Buatlah
model pembagian seperti dibawah ini:
Jadi,
Hasil bagi :
dan Sisa : 51x - 19
2.Jika
dibagi
, sisanya 3x+2 hitunglah nilai a dan b
[Penyelesaian]
Buatlah
model pembagiannya:
Karena
sisanya 3x + 2, maka
(- a + 4) x + b - 3 = 3x + 2
Bandingkanlah
ruas kiri dengan ruas kanan,
- a + 4 = 3 ….. (1)
b - 3 = 2 ……(2)
Dari
(1) dan (2),
a = 1 ; b = 5
Dari
contoh-contoh diatas pembagian suku banyak dengan metode horner hanya dapat
dilakukan jika yang dibagi berbentuk linier, jika yang dibagi berbentuk kuadrat
maka pembagian suku banyak dengan
metode bersusun.








.png)



tentang pembagian suku banyak oleh bentuk ax2 + bx + c yang difaktorkan, kok nggak ada .... ???
ReplyDelete