Sifat-sifat
Operasi dan Syarat-syarat perkalian
matriks matematika
Perkalian matriks
terhadap matriks lain serta syarat-syarat apa saja yang harus dipenuhi agar
hasil perkalian matriks tersebut terdefinisi, akan dibahas pada materi ini
sebaiknya pelajari terlebih dahulu materi prasyarat tentang dasar-dasar
matriks, agar anda lebih mudah mempelajari materi perkalian matriks ini.
Syarat-syarat
Perkalian matriks
(a)
Hasil perkalian matriks A dan B dengan
ordo
adalah matriks
dimana elemen pada
baris ke-1 dan kolom ke-1 merupakan jumlah dari perkalian elemen-elemen yang
bersesuaian pada baris ke-1 matriks A dan kolom ke-1 matriks B
Contoh:
Hitunglah
perkalian matriks dibawah ini!
Hitunglah
A× B
[Penyelesaian]
Sesuai
dengan prinsip perkalian matriks , maka
(b). Perkalian
matriks
dengan matriks
terdefinisi jika n = p atau Jika banyaknya kolom matriks A sama dengan
banyaknya baris pada matriks B. Dan hasil kali nya adalah matriks 
Pengertian
dikalikan dari kiri dan dikalikan dari Kanan dalam Perkalian Matriks
Dalam
perkalian dua matriks tidak berlaku sifat komutatif, AB ≠ BA. Dalam aljabar
perkalian matriks AB disebut matriks B dikalikan dari kiri oleh matriks A dan
perkalian matriks BA disebut matriks B dikalikan dari kanan oleh matriks A.
Perhatikan
contoh dibawah ini!
Diketahui
dua buah matriks dibawah ini:
Apakah
AB = BA?
[Penyelesaian]
Hasil
kali AB dan BA seperti dibawah ini,
Dari
hasil diatas maka AB ≠ BA.
Pemangkatan
Matriks Persegi
Jika
A suatu matriks persegi, maka berlaku seperti dibawah ini,
Sifat-sifat
Operasi perkalian Matriks
Jika
setiap perkalian matriks A dan B terdefinisi, maka selalu berlaku:
1)
(AB)C = A(BC) , (sifat asosiatif)
2)
A(B + C) = AB + AC, (sifat distributif kiri)
3)
(B + C)A= BA + CA , (sifat distributif kanan)
4) k
(AB) = (kA)B= A(kB), k skalar dan k ϵ R
Sifat-sifat
Operasi Transpose pada Matriks
Dibawah
ini sifat-sifat transpose pada matriks,
Contoh Soal perkalian matriks dengan matriks
Dibawah
ini contoh-contoh soal dan penerapan sifat-sifat operasi perkalian matriks
Selesaikan
soal-soal dibawah ini!
(1). Diketahui
Matriks-matriks dibawah ini, Hitunglah A × B ,
[Penyelesaian]
Sesuai
dengan prinsip perkalian matriks, maka
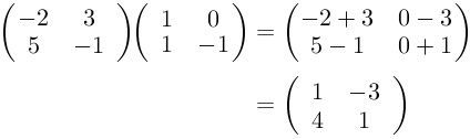
(2).
Hitunglah perkalian matriks ordo 2× 2
dibawah ini,
[Penyelesaian]
(3). Hitunglah
perkalian matriks 3 × 3 dibawah ini
[Penyelesaian]
Solusi
perkalian matriks 3 × 3 diatas adalah,
(4). Hitunglah
perkalian matriks beda ordo B dan C berikut ini,
[Penyelesaian]
Matriks
,
banyak kolom matriks B sama dengan banyak baris matriks C maka B × C
terdefinisi. Hasil perkaliannya adalah,
(5). Hitunglah
perkalian tiga matriks A× B× C dibawah
ini,
[Penyelesaian]
Dengan
menggunakan sifat asosiatif, A× (BC)
(6). Diketahui
matriks-matriks dibawah ini
Hitunglah
AB + AC
[Penyelesaian]
Dengan
menggunakan sifat distributif, AB + AC = A(B + C) maka
(7). Hitunglah
perkalian matriks dengan skalar
dibawah ini!
Tentukan
-3A
dan 2A
[Penyelesaian]
Hasil
perkalian matriks dengan skalar diatas adalah,
(8).
Diketahui matriks-matriks berikut ini,
Tentukan
perkalian matriks transpose yaitu
[Penyelesaian]
Maka
,
adalah :
(9). Jika
diketahui matriks-matriks dibawah ini,
Maka
nilai abc adalah?
[Penyelesaian]
Tentukan
dahulu nilai a,b dan c,
Dari
(1),
2a - 3b = - 1 ……(2)
4a +
6b = 10 ……(3)
c+ 1 = 2 ……(4)
Dengan mengeliminasi persamaan (2) dan persamaan (3) di peroleh , a = 1 dan b = 1
Dari
(4), c = 1
∴ abc = 1
Demikian
materi perkalian matriks, semoga
bermanfaat jika ada materi, konsep dan contoh soal yang salah mohon kritikannya
dibagian komentar.
Materi Terkait:
□Matriks (Jenis-jenis Matriks, matriks transpose,Penjumlahan dan Pengurangan matriks)
Terimakasih anda telah membaca artikel tentang Perkalian Matriks . Jika ingin menduplikasi artikel ini diharapkan anda untuk mencantumkan link https://soulmath4u.blogspot.com/2014/03/perkalian-matriks.html?m=0. Terimakasih atas perhatiannya.
Belajar Matematika Online
Published:
2014-03-11T20:09:00-07:00
Title:Perkalian Matriks
Rating:
5 On
22 reviews
Artikel Terkait